随着互联网技术、大数据、云计算等新兴技术的出现,金融行业日新月异;一些传统金融的职位逐渐退出历史舞台,同时涌现出对新兴技术人才巨大的市场需求,即以互联网金融为代表的“金融科技”。
那么传统的金融行业和新兴的金融科技行业从薪资水平、技能要求、学历、工作经验等等诸多方面到底有什么不同?今天狗熊会从数据分析角度来一探当下金融行业招聘岗位需求情况。
我们基于招聘网站爬取的传统金融和金融科技类岗位的48885条信息,提取岗位描述中关键词,比对两类岗位的薪资、技术要求、城市分布、岗位细分等各个方面,建立回归模型,并对两类岗位分别进行聚类分析得到细分职位信息等。
数据处理后的变量信息如下:

描述性统计分析及可视化
通过观察两种岗位招聘信息的词云,不难发现:金融科技类岗位与传统金融类岗位的技能要求差异明显:金融科技类岗位对于数据、编程能力有较高的要求,侧重平台搭建,算法及策略开发。传统金融类岗位更多的是从业务出发,要求集中于与客户沟通、销售产品、提供金融服务为主。

对于薪资水平,以10000元为分界点,将工资水平分为低工资水平和高工资水平,我们可以看到,金融科技类岗位中超过10000元的比例明显高于传统金融类岗位。
从地域分布的角度出发区分两类行业,我们发现它们各有各的地域优势:
金融科技类岗位主要分布在一线及准一线城市。传统金融中心(如上海)对金融科技类岗位需求较低,而互联网行业发达的城市对金融科技类人才需求较高。
从薪资的均值分布来看,一线城市的整体金融类岗位薪资明显高于其他城市。而金融科技大多高于传统金融行业。同时,我们发现传统金融更看重学历并有较高的专业证书要求,金融科技类岗位更看重实际能力。
那么如果在证书水平要求较低的金融科技岗位,具备了证书资格,会不会对薪资有明显加成呢?
数据表明,并!不!会!要求证书的金融科技岗位平均薪资反而比没有证书要求的岗位低,推测该类公司需要证书的岗位往往是一些支撑或纯业务类岗位,而非金融科技核心岗位。同时,编程能力对于传统金融业薪资影响不大,从分布上来看两者几乎一样。
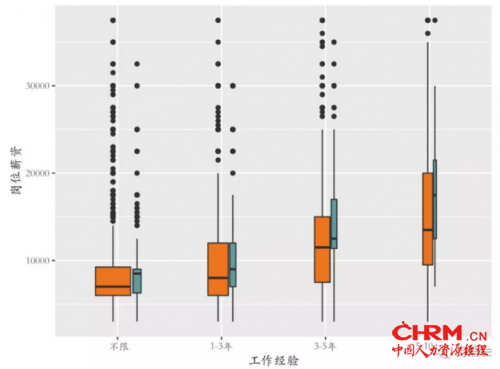
那么工作经验呢?是否“姜还是老的辣”?

上述箱线图表明,还真的是水涨船高,但要“老”就“老”得彻底点儿,5-10年经验的果真离“精英岗位”越来越近,但3年以下的貌似就差别不大了。
综上所述,从上面的统计图直观地感受到两类行业的不同:金融科技本质上脱胎于技,该岗位的入门门槛是编程能力,学历要求不高,进入岗位后,对薪资影响最重要的是工作经验、地域因素、编程能力等,金融科技类岗位高薪职位分布在一线城市的大规模的公司中。而传统金融本质上脱胎于金融业务,对金融类知识及学历要求较高,入行门槛中的证书水平是重要的参考因素,地域、公司规模、公司性质都是参考因素,对编程能力要求不是很高。
薪资影响因素建模分析
狗熊会从“钱途”的角度出发,通过建立包含交互项的对数线性回归模型,找出显著影响两类行业薪资的因素。注意,在建模时,模型中金融科技vs传统金融0-1变量与其他因素的交互项可以刻画两类行业中各个因素影响薪资力度的不同。


通过系数估计图,对于传统金融行业,以北京作为基准,上海的平均薪资远高于其他城市,比第二位深圳高0.144-0.034=11.0%,比北京高14.4%。而沈阳比北京低近30%。对于金融科技行业,相较于传统金融,成都、贵阳、沈阳与北京的差距分别缩小2.4%,3%和9.2%。深圳比北京高出0.037+0.034=7.1%。
对于学历及其技能方面,只有大专和本科与行业的交互项显著,其他因素在金融科技和传统金融行业没有显著差别。例如,相比于不限学历,博士学历的薪资高出49.7%,只要求大专学历的岗位比不限的传统金融行业低8.7%,金融科技行业低0.087-0.022=6.5%。从编程要求来说,有要求的岗位薪资比没有的高4.8%。
工作经验越高,平均薪资越高:要求3-5年工作经验的岗位比不限工作经验的岗位薪资高31.9%。
从公司规模来看,可以清晰地看到两类行业的不同:

以“未知”为基准,大中规模公司的薪资类似,都显著高于小规模公司。对于传统金融,股份制企业待遇最好,比“未知”高10.7%。国企在传统金融和金融科技中有相反作用:传统金融中有正向作用6.3%,金融科技中有负向作用0.099-0.063=3.6%。
细分职位聚类分析
下面我们从职位划分的角度出发,通过对所有岗位特征的聚类分析,将两类岗位划为三个细分职位类型。通过K-Means聚类模型,我们将岗位细分如下:

结合岗位细分结果与求职者最关心的“钱途”问题,我们发现,在两类岗位中,精英职位的平均工资都明显高于其他两类岗位的工资,进阶岗位工资跟入门岗位差别不是特别大。
分析结果应用:

比如,我们可以针对求职者给出自我定位和自我薪资预期:


我国金融科技正在进入高速发展期,以上对于当下人才需求的分析将为求贤若渴的企业快速找到合适的人才提供助力,也将有助于即将进入人才市场的毕业生,可以更加清晰定位自我,针对性培养技能,快速实现职场进阶!