一个关于时间的经典故事
《高效能人士的七个习惯》的作者史蒂芬?柯维在其新作《要事第一》里与我们分享了一个关于时间管理的故事。故事的大意是这样的:一天,某著名教授在上课之前让同学们搬了一些看起来莫名其妙的东西,其中,有一盘大石块,一盘小石块,一盘大沙子,一盘小沙子,一大盆水,一个大大的透明玻璃杯。当同学们把这些东西摆放好之后,教授说道,“同学们,今天我们一起来做一个有趣的实验。实验的要求是把我眼前的这所有的石头、沙子和水都装到这个玻璃杯里。那么,请同学们回答,应该按照什么顺序来装呢?”顿时,同学们的好奇心被调动起来,纷纷发言,有人认为东西那么多,杯子那么小,把所有的东西都装到玻璃杯是不可能的,有人认为应该先装水,有人认为应该先装小沙子,……。看到同学们这么踊跃,教授笑道:“首先必须明确的一点是,这些东西是可以全部装到杯子里的,只是你要找准顺序,下面我们就来看看到底按照什么顺序才能完成这个实验。”于是。教授先把大石头装到杯子里,再把小石头装进去,接着装大沙子,然后装小沙子,最后把水全部倒了进去。刚刚好,一样东西也没剩下,教室里顿时掌声雷动。最后教授总结道:“表面上看,我们是在执行一个不能完成的任务,但事实表明,按照刚才的顺序,我眼前这所有的东西都已经被完全装到这个玻璃杯里。这其中只要有一个顺序不对,任务都不能完成。比如,你把小沙子放在了第一顺序,那么装大沙子的时候,大沙子之间将留有空隙,而且这些空隙无法被填充,因为你已经把能够填充空隙的最细小的沙子先装到了杯子里,这将直接导致杯子的一部分空间被占用,造成浪费。同样的道理,如果先装小石头,那么大石头之间的空隙也将无法被充分地利用,从而造成浪费。通过这个实验,我们得出一个什么样的道理呢?那就是在时间管理上,我们应该把握各项工作重要程度的先后顺序,按照事情的重要程度来安排工作,要事第一,要事先做,只有这样,我们的工作才能不断保持较高的效率。”
绩效管理的“筐子”理论
由此,我不禁想到了绩效管理,就像教授手中的那个透明玻璃杯一样,绩效管理就像一个筐子,容量是有限的,但需要做好的工作有很多,面对绩效管理的这个筐子,我们的管理者该怎么决策,该选择什么,按照什么样的顺序,去把与绩效有关的东西装到这个筐里,才能使它能被企业最充分地利用,更好地发挥它的作用,帮助企业提高管理效率和经营绩效?
一、绩效管理是怎样的一个筐?
在往这个筐里装东西之前,我们必须首先明确的一个问题是,绩效管理究竟是怎样的一个筐子?我想,这个问题可以从筐子的构造来回答。
1、筐子的高度——企业的战略目标
筐子的高度决定了它的深度,同时也对其容量起着关键性作用,因此,首先要从筐子的高度来认识它,那就是企业的战略目标。
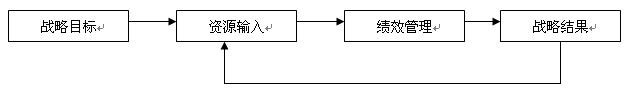
一个优秀的绩效管理系统与企业的战略目标密不可分,企业必须从战略的高度来设计绩效管理系统,同时,绩效管理的过程也始终围绕企业的战略目标来执行,通过对企业战略进行有效的分解,层层落实到各个部门和工作团队,进而落实到具体办事的员工,使企业的战略被逐级分解,逐级执行,逐级落实,直至达成企业战略目标,获得企业所要的战略结果。绩效管理与企业战略的关系可以通过图1-1来表示。

图1-1 绩效管理在战略实施中的作用
通过图1-1我们可以非常直观地看出绩效管理与企业战略实施的关系,即通过对企业战略目标进行有效的分解,配以恰当的资源,利用有效的绩效管理手段,最终获得我们想要的战略结果。
2、筐子的广度——企业对绩效管理作用的描述
光有高度,并不能完全保证筐子的容量,还必须把握好筐子的广度的问题,广度的问题就是绩效管理作用问题。在战略高度的基础上,企业应对绩效管理的作用有一个更加充分的认知,使绩效管理在多个层面发挥综合作用。
要使筐子的容量足够地大,企业就不能仅仅认为绩效管理是对员工的考核,更不能把绩效管理的作用简单地界定在发放工资这个基础的层面。为使绩效管理的作用得到充分的发挥,企业应该着眼于本企业的战略目标,从企业绩效、部门绩效和员工绩效这三个层面综合考虑问题,使企业的绩效管理致力于企业战略目标的实现,致力于企业经营绩效的提升,致力于经理和员工绩效能力的提高,致力于企业绩效文化的创建,致力于经理和员工之间的绩效合作伙伴关系的构建,致力于开创绩效沟通的新局面,等等,在这些大前提的基础上,企业再考虑如何利用绩效考核的结果去进行相关的人事决策,如加薪、晋级、解聘等。
3、筐子的底——基础管理
高度有了,容量有了,但筐子是否结实,也是一个非常重要的问题。毕竟,如果筐子的底部不够结实,或者干脆已经腐烂,不堪一击,那筐子怎么可以承载重量,恐怕刚刚拎起来,筐子就已经不能使用了。
决定筐子底部是否足够结实的是企业的基础管理,而基础管理又集中表现在企业对职位的管理。
职位管理是绩效管理的基础。职位的管理是否到位,企业内各个职位的责权利界定的是否清楚,是否详细,是否可供依据,职位与职位之间的流程衔接是否顺畅,等等,这些问题在绩效管理实施之前必须有一个明确的答案。
通常,企业都在做这项工作,但大多比较粗糙,比较泛泛,职位的内容不够详细,工作的标准不够明确,如果仅仅以这样粗浅的职位界定去应对绩效管理,显然是不够用的。随着绩效管理研究的深入,当前的职位管理现状受到了严峻的挑战,绩效管理对职位的管理也提出了更高的要求,要求企业必须在实施之前进行职位分析工作,重新定义员工的工作内容,进一步明确员工的职位说明书,更加清楚详细地界定员工的职位,使工作流程更加顺畅,工作标准更加精确。这就要求企业要尽加固筐子的底部,加强职位的管理,把绩效管理的基础工作做扎实。
4、筐子的材料——全体员工
材料是决定筐子的根本,筐子的质地将因所用材料的不同而有所区别。
那么,决定筐子的材料是什么呢?员工,所有的员工,包括企业老总、各个层级的经理、主管和所有基层的员工,企业的所有员工都概莫能外,只有通过有效的手段把所有的员工紧密地结合在一起,绩效管理的筐子才能成型,筐子的质量才够强。
也就是说,绩效管理不是管理层的专利,也不是人力资源部一个部门的事情,更不是各级经理对付员工的工具,而是企业所有经理员工共同的事业,只有把所有的员工都纳入其中,并在其中扮演恰当的角色,担当相应的职责,才能最终保证绩效管理得以有效的实施。
二、该往绩效管理这个筐子里装些什么东西?
绩效管理的“筐子”做好之后,企业要做的工作就是决定该装哪些东西,只有把合适的东西装到筐子里,它才能真正具备价值,发挥作用。
在绩效管理这个筐子里,我们要装的东西大概有,一是绩效管理的系统,二是绩效管理的流程,三是绩效管理的人,四是相关的方法和工具,五是绩效考核结果的使用。这里,绩效管理的系统就像教授手中的最大的石块,绩效管理的流程就像小一点的石块,绩效管理的人就像大沙子,相关的方法和工具就像小沙子,绩效考核结果的使用就像水,企业就是要把这些东西装到绩效管理这个筐子里。
三、按照什么顺序装?
显然,我们应该依照“要事第一”的原则,按照教授教给我们的方法,根据这些东西的重要程度和逻辑顺序依次把它们装到筐子即可。具体操作顺序如下:
1、装入绩效管理系统。
绩效管理系统就像那些大石块一样,只有先把它放进去,其他的东西才会有更多的空间,才会切合地更好。
为什么先放入绩效管理系统?这与绩效管理的特点有关,绩效管理本身就是一个完善的管理系统,绝对不是只有绩效考核一个环节。企业在着手操作绩效管理之前,必须把绩效管理看作一个系统来进行设计、维护和发展。装入绩效管理系统实际上就是从系统的观点出发来运作绩效管理,使绩效发挥综合作用,整体上改善企业、经理和员工的绩效,使绩效管理与企业战略和谐统一。
在很多企业绩效管理的筐子里装的不是系统而是绩效考核,整个筐子里只是放了几张简单的绩效考核表,也正因为他们选择了绩效考核作为主要内容,筐子再也容纳不下其他的东西,战略目标、绩效系统、过程沟通、业绩辅导、绩效改进等等这些重要的物件被企业一一丢弃在一旁,这也直接导致了绩效管理工作失效,流于形式。
绩效管理系统又包括四个子系统,分别是目标体系、制度保障体系、组织保证体系和绩效管理过程体系。
2、装入绩效管理流程。
决定了绩效管理的系统构架之后,再来确定绩效管理的流程,即:绩效计划,设定绩效目标→绩效沟通与辅导→绩效收集与记录,建立业绩档案→绩效考核与反馈→绩效诊断与提高。把这五个绩效管理流程装入筐子,使绩效管理系统丰富化和具体化。
3、装入人。
装入人就是把企业中各个层面的员工与相关的流程匹配起来,明确各级管理者的绩效管理责任,使流程被有效地执行,并在执行的过程中不断得到改善和提高。
4、装入方法和工具。
在绩效管理的过程中,都采用了哪些方法,使用了哪些工具,比如,设定绩效目标的方法、绩效沟通的方法、绩效考核的方法、绩效反馈的方法,绩效考核的工具、绩效反馈的工具、建立绩效档案的工具、绩效满意度调查的工具等,这些方法和工具必须一一列出并放入筐中,以保证管理者在绩效管理的过程中有具体的方法可以依循,有操作性强的工具可以使用。
5、绩效考核结果的使用。
最后,绩效考核结果的使用也应作为一项内容放入筐中,阶段性的绩效考核与员工激励、薪酬分配和培训发展等内容有效结合起来将更有利于绩效管理的开展,一方面检验前一阶段绩效管理实施的效果,一方面管理者兑现当初对员工的承诺,激励他们不断为提高自己的绩效而努力工作。
结束语: 绩效管理就像一个筐,要装的东西很多,每个企业的选择不一样,但有一点是明确的,那就是你必须按照绩效管理系统的逻辑顺序依次放入,要事先做,使绩效管理这个“筐子”发挥最大的作用!